What do consumers want? What do they maximize?
Avoid being normative & make as few assumptions as possible
We'll assume people maximize preferences

Example:
a=(412) or b=(612)



a≻b: Strictly prefer a over b
a≺b: Strictly prefer b over a

a≻b: Strictly prefer a over b
a≺b: Strictly prefer b over a
a∼b: Indifferent between a and b

a≻b: Strictly prefer a over b
a≺b: Strictly prefer b over a
a∼b: Indifferent between a and b



Reflexivity : any bundle is at least as preferred as itself
Completeness : any two bundles can be compared

Reflexivity : any bundle is at least as preferred as itself
Completeness : any two bundles can be compared
Transitivity : rankings are logically consistent:

Are these good assumptions?
Typical in economics: very often yes, sometimes no!
See Behavioral economics for interesting anomalies and exceptions

For each bundle, we now have 3 pieces of information:
How to represent this information graphically?

Cartographers have the answer for us
On a map, contour lines link areas of equal height
We will use "indifference curves" to link bundles of equal preference

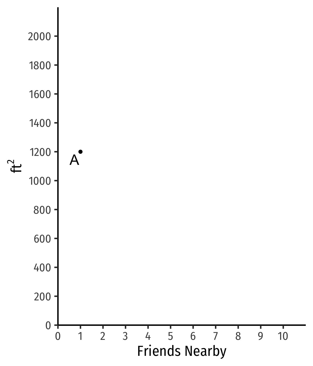
Example: Suppose you are hunting for an apartment. You value both the size of the apartment and the number of friends that live nearby.

Example: Suppose you are hunting for an apartment. You value both the size of the apartment and the number of friends that live nearby.

Example: Suppose you are hunting for an apartment. You value both the size of the apartment and the number of friends that live nearby.

Example: Suppose you are hunting for an apartment. You value both the size of the apartment and the number of friends that live nearby.

Example:
Apt. A has 1 friend nearby and is 1,200 ft2
Apt. B has more friends but less ft2

Example:
Apt. A has 1 friend nearby and is 1,200 ft2
Apt. B has more friends but less ft2
Apt. C has still more friends but less ft2

Example:
Apt. A has 1 friend nearby and is 1,200 ft2
Apt. B has more friends but less ft2
Apt. C has still more friends but less ft2
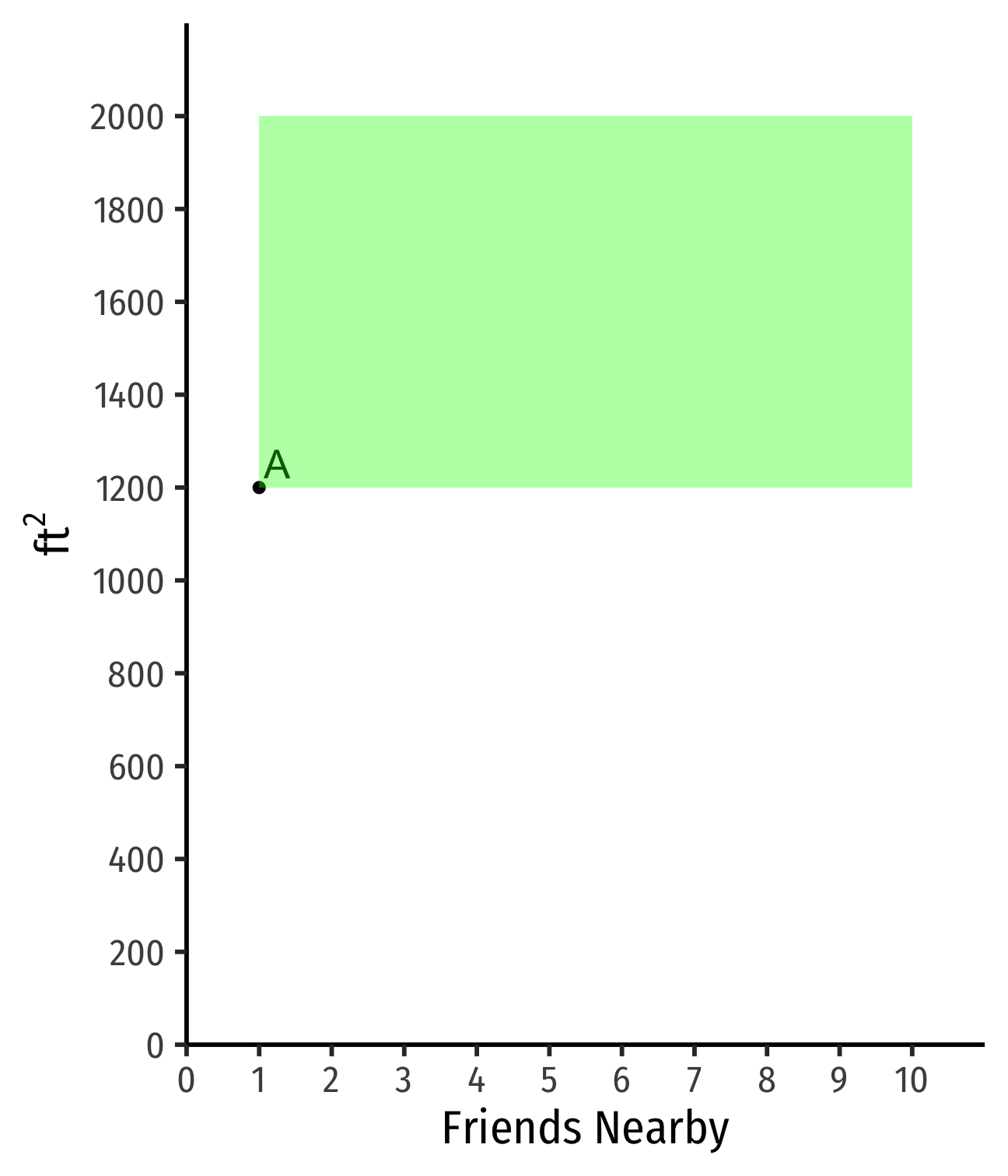
If A∼B∼C, on same indifference curve


Indifferent between all apartments on the same curve
Apts above curve are preferred over apts on curve

Indifferent between all apartments on the same curve
Apts above curve are preferred over apts on curve

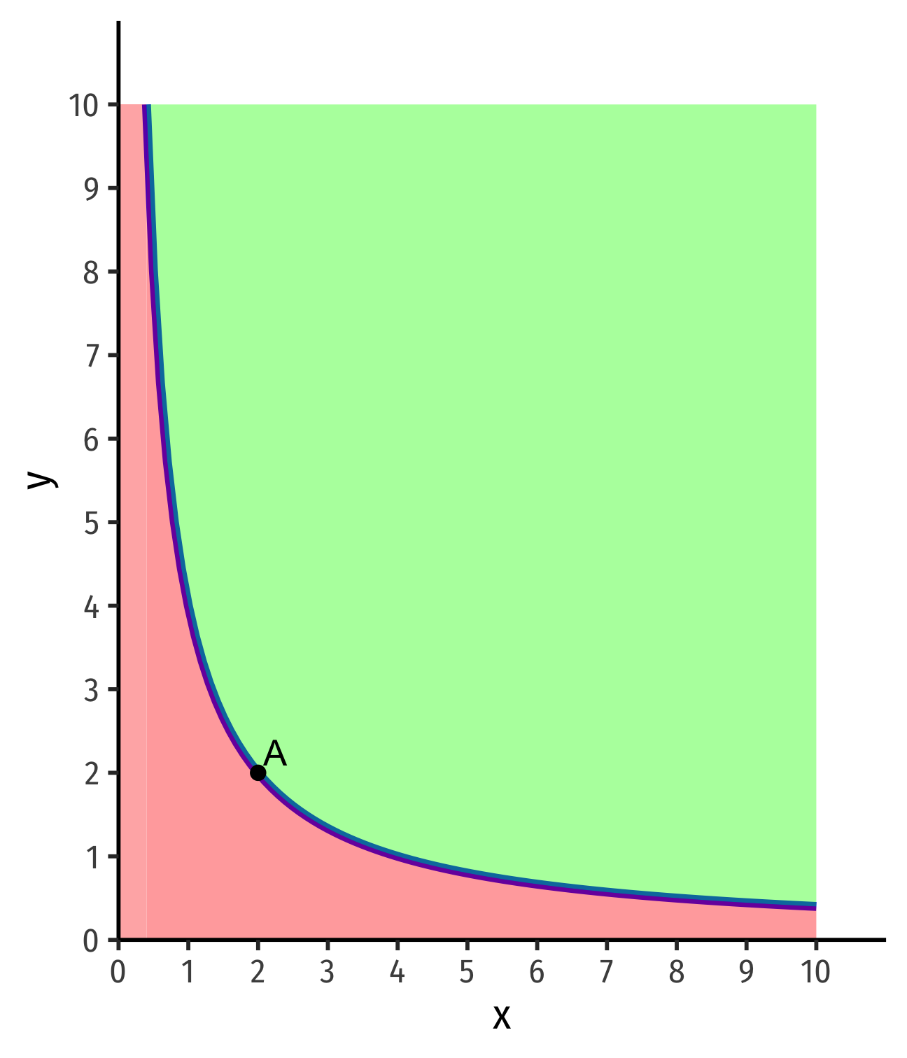
We can always draw indifference curves: two bundles can always be ranked
Monotonic: "more is preferred to less"
Convex: "averages are preferred to extremes"
Indifference curves can never cross: preferences are transitive

We can always draw indifference curves: two bundles can always be ranked
Every possible bundle (point on graph) is on an indifference curve

We can always draw indifference curves: two bundles can always be ranked
Every possible bundle (point on graph) is on an indifference curve

Monotonic: "more is preferred to less"
For any bundle b with more of at least one good than bundle a⟹a≺b
Moves to NE always preferable
Moves to SW always unpreferable

Application: What do indifference curves look like for bads?
Convex: "averages are preferred to extremes"
Take a (weighted) average of any two apartments on curve
Any "good balance" of the two goods (e.g. C)≻ "unbalanced" (A or B)
People prefer variety in consumption
Math: convex function ⟹ line connecting 2 points lies above function

Application: What do non-convex (e.g. concave) indifference curves look like? What kinds of preferences does this imply?
Indifference curves can never cross: preferences are transitive
Suppose two curves crossed:


If I take away one friend nearby, how many more ft2 would you need to keep you indifferent?
Marginal Rate of Substitution (MRS): rate at which you trade off one good for the other and remain indifferent
Think of this as your opportunity cost: # of units of y you need to give up to acquire 1 more x

Budget constraint (slope) measured the market's tradeoff between x and y based on market prices
MRS measures your personal evaluation of x vs. y based on your preferences
Foreshadowing: what if they are different? Are you truly maximizing your preferences?

MRS is the slope of the indifference curve MRSx,y=−ΔyΔx=riserun
Amount of y given up for 1 more x
Note: slope (MRS) changes along the curve!

Long ago (1890s), utility considered a real, measurable, cardinal scale†
Utility thought to be lurking in people's brains
Obvious problems

† "Neuroeconomics" & cognitive scientists are re-attempting a scientific approach to measure utility
20th century innovation: preferences as the objects of maximization
We can plausibly measure preferences via implications of peoples' actions!
Principle of Revealed Preference: if x and y are both feasible, and if x is chosen over y, then the person must (weakly) prefer x⪰y
Flawless? Of course not. But extremely useful!

So how can we build a function to "maximize preferences"?
Construct a utility function u(⋅)† that represents preference relations (≻,≺,∼)
Assign utility numbers to bundles, such that, for any bundles a and b: a≻b⟺u(a)>u(b)

† The ⋅ is a placeholder for whatever goods we are considering (e.g. x, y, burritos, lattes, etc)
We can model "as if" the consumer is maximizing utility/preferences by maximizing the utility function:
"Maximizing preferences": choosing a such that a≻b for all available b
"Maximizing utility": choosing a such that u(a)>u(b) for all available b
Identical if they contain the same information

| u(⋅) |
|---|
| u(a)=1 |
| u(b)=2 |
| u(c)=3 |
| u(⋅) |
|---|
| u(a)=1 |
| u(b)=2 |
| u(c)=3 |
| u(⋅) | v(⋅) |
|---|---|
| u(a)=1 | v(a)=3 |
| u(b)=2 | v(b)=5 |
| u(c)=3 | v(c)=7 |
Utility numbers have an ordinal meaning only, not cardinal
Both are valid:†

† See the Mathematical Appendix in Today's Class Page for why.
What do consumers want? What do they maximize?
Avoid being normative & make as few assumptions as possible
We'll assume people maximize preferences

Keyboard shortcuts
| ↑, ←, Pg Up, k | Go to previous slide |
| ↓, →, Pg Dn, Space, j | Go to next slide |
| Home | Go to first slide |
| End | Go to last slide |
| Number + Return | Go to specific slide |
| b / m / f | Toggle blackout / mirrored / fullscreen mode |
| c | Clone slideshow |
| p | Toggle presenter mode |
| t | Restart the presentation timer |
| ?, h | Toggle this help |
| Esc | Back to slideshow |